Loncat ke konten
PPID Kab. Hulu Sungai Selatan
Pejabat Pengelola Informasi dan Dokumentasi Kab. Hulu Sungai Selatan
Beranda
Profil
SK Penetapan PPID
Gambaran Singkat Pembentukan PPID
Visi dan Misi PPID
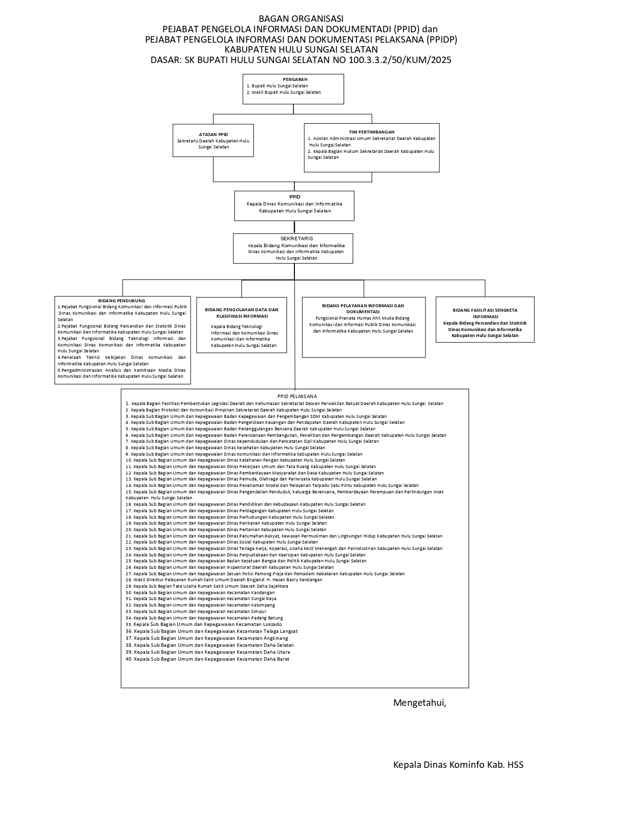
Profil dan Struktur PPID
Maklumat Pelayanan Informasi Publik
Ruang Lingkup Hulu Sungai Selatan
Sosial Media
Tugas dan Tanggung Jawab PPID dan PPID Pelaksana
Informasi Publik
Daftar Informasi Publik
Informasi Tersedia Setiap Saat
Informasi Wajib Berkala
Daftar Informasi yang Dikecualikan
Informasi Serta Merta
Daftar Website SKPD Kab. HSS
Website Pemkab Hulu Sungai Selatan
Sekretariat Daerah HSS
Sekretariat DPRD
Badan Pengelola Keuangan dan Pendapatan Daerah Kabupaten Hulu Sungai Selatan
Bappelitbangda
Badan Kepegawaian dan Pengembangan SDM
Badan Penaggulangan Bencana Daerah
Inspektorat
Satpol PP & Damkar
Dinas Pendidikan & Kebudayaan
Dinas Kesehatan
PMI
Dinas PU & Tata Ruang
Dinas Perumahan Rakyat, Kawasan Permukiman dan Lingkungan Hidup
RSUD Brigjend H. Hasan Basry
RS Daha Sejahtera
Jaringan Dokumentasi dan Informasi Hukum (JDIH)
JDIH DPRD
Dinas Sosial
Dinas Ketahanan Pangan
Dinas PPKBPPPA
KPU Kab. Hulu Sungai Selatan
Disdukcapil
Dinas Komunikasi dan Informatika
Dinas PMPTSP
Dinas Perikanan
Disnaker KUKM & Perindustrian
Dinas PMD
Dinas Pemuda Olahraga dan Pariwisata
Dinas Perpustakaan Dan Kearsipan
Dinas Pertanian
Dinas Perhubungan
Dinas Perdagangan
Layanan Harga Kebutuhan Pokok
Badan Kesbangpol
Kecamatan Sungai Raya
Kecamatan Padang Batung
Kecamatan Telaga Langsat
Kecamatan Angkinang
Kecamatan Kandangan
Kecamatan Simpur
Kecamatan Daha Selatan
Kecamatan Daha Utara
Kecamatan Daha Barat
Kecamatan Kalumpang
Kecamatan Loksado
Permohonan Informasi Publik
Alur Permohonan Informasi
Formulir Permohonan Informasi
Formulir Keberatan Informasi Publik
Search for:
PPID Kab. Hulu Sungai Selatan
Pejabat Pengelola Informasi dan Dokumentasi Kab. Hulu Sungai Selatan
Search for:
Beranda
Profil
SK Penetapan PPID
Gambaran Singkat Pembentukan PPID
Visi dan Misi PPID
Profil dan Struktur PPID
Maklumat Pelayanan Informasi Publik
Ruang Lingkup Hulu Sungai Selatan
Sosial Media
Tugas dan Tanggung Jawab PPID dan PPID Pelaksana
Informasi Publik
Daftar Informasi Publik
Informasi Tersedia Setiap Saat
Informasi Wajib Berkala
Daftar Informasi yang Dikecualikan
Informasi Serta Merta
Daftar Website SKPD Kab. HSS
Website Pemkab Hulu Sungai Selatan
Sekretariat Daerah HSS
Sekretariat DPRD
Badan Pengelola Keuangan dan Pendapatan Daerah Kabupaten Hulu Sungai Selatan
Bappelitbangda
Badan Kepegawaian dan Pengembangan SDM
Badan Penaggulangan Bencana Daerah
Inspektorat
Satpol PP & Damkar
Dinas Pendidikan & Kebudayaan
Dinas Kesehatan
PMI
Dinas PU & Tata Ruang
Dinas Perumahan Rakyat, Kawasan Permukiman dan Lingkungan Hidup
RSUD Brigjend H. Hasan Basry
RS Daha Sejahtera
Jaringan Dokumentasi dan Informasi Hukum (JDIH)
JDIH DPRD
Dinas Sosial
Dinas Ketahanan Pangan
Dinas PPKBPPPA
KPU Kab. Hulu Sungai Selatan
Disdukcapil
Dinas Komunikasi dan Informatika
Dinas PMPTSP
Dinas Perikanan
Disnaker KUKM & Perindustrian
Dinas PMD
Dinas Pemuda Olahraga dan Pariwisata
Dinas Perpustakaan Dan Kearsipan
Dinas Pertanian
Dinas Perhubungan
Dinas Perdagangan
Layanan Harga Kebutuhan Pokok
Badan Kesbangpol
Kecamatan Sungai Raya
Kecamatan Padang Batung
Kecamatan Telaga Langsat
Kecamatan Angkinang
Kecamatan Kandangan
Kecamatan Simpur
Kecamatan Daha Selatan
Kecamatan Daha Utara
Kecamatan Daha Barat
Kecamatan Kalumpang
Kecamatan Loksado
Permohonan Informasi Publik
Alur Permohonan Informasi
Formulir Permohonan Informasi
Formulir Keberatan Informasi Publik
Profil dan Struktur PPID
Bagan organisasi PPID 2025
Unduh
Kembali ke Atas